Uncertainty in Smart Structures

Uncertainty in (semi-) active Vibration Attenuation

Uncertainty in the predicted lifetime of load-carrying mechanical systems in consequence of functional impairment or collapse will be controlled by autonomous approaches of structural health monitoring and control. Hence the system’s behavior is monitored and integrated actuators are used for structural control. In the subproject C2 of the Collaborative Research Center 805, uncertainty in the vibration attenuation in beam truss structures via shunted piezo-elastic beam supports is quantified and evaluated. First, the use of RL- and RLC-shunt are investigated for vibration attenuation of a single beam with circular cross section (see Figure 1).

Figure 1: a) beam with circular cross section with piezo-elastic support vibration attenuation, b) section view and c) foto of the piezo-elastic support
Figure 1: a) beam with circular cross section with piezo-elastic support vibration attenuation, b) section view and c) foto of the piezo-elastic support

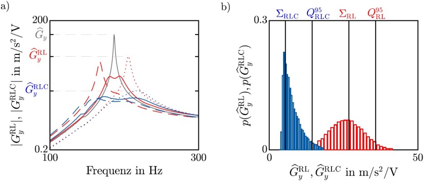
There, the influence of epistemic data uncertainty realized by the variation of static axial loads on the vibration attenuation via piezoelectric shunt damping is investigated. The variation of static loads results in a decrease of the first resonance frequency for compressive loads as well as an increase for tensile loads, figure 2a). Furthermore, aleatoric uncertainty from the manufacturing and assembly of the piezo-elastic support as well as from the variation of shunt components and transducer parameters for RL- and RLC- shunts is quantified and investigated using a Monte-Carlo simulation, figure 2b). For both, experimental and numerical investigations, the RLC-shunt achieves a higher vibration attenuation with lower deviation than the RL-shunt.

Figure 2: a) vibration amplitude of the beam for the unloaded case (solid line), axial tension load (dotted) und axial compression load (dashes) and b) normalized histogram without and with RL- and RLC-shunt
Figure 2: a) vibration amplitude of the beam for the unloaded case (solid line), axial tension load (dotted) und axial compression load (dashes) and b) normalized histogram without and with RL- and RLC-shunt

For the two-dimensional beam truss structure in figure 3, numerical investigations showed a successful vibration attenuation with piezoelectric shunt damping if data uncertainty is present. The achieved vibration attenuation with RL- and RLC-shunt as well as the corresponding uncertainty is quantified and compared for variable static loads. A lower uncertainty and at the same time higher vibration attenuation is observed when using the RLC-shunt. The current work is focused on experimental validation of those results and (non-)robust optimization (e.g. by Genetic Algorithms) to determine the positions of the piezo-elastic supports in the beam truss structure as well as to tune the shunt parameters.

Figure 3: Test setup of the beam truss structure
Figure 3: Test setup of the beam truss structure
Contact: Jonathan Lenz, M.Sc.