Forschung Adaptronik

Unsicherheit in (semi-)aktiver Schwingungsreduktion

Unsicherheit tritt in der Nutzung lasttragender mechanischer Systeme im dynamischen Strukturverhalten u. a. aufgrund von veränderten Randbedingungen und Belastungen auf. Diese wird zum einen durch selbständiges Überwachen von Systemveränderungen und Schädigungen und zum anderen durch ein autonomes dynamisches Eingreifen über system- und funktionsintegrierte Aktuatorik, dem Structural Health Control, beherrscht. Im Rahmen des Teilprojekts C7 des Sonderforschungsbereichs 805 wird am Fachgebiet SAM Unsicherheit in der Schwingungsreduktion mittels piezo-elastischen Balkenlagern und verbundenen RL- und RLC-Shunt für einen einzelnen Rundbalken untersucht (siehe Abbildung 1).

Abbildung 1: a) Rundbalken mit piezo-elastischem Lager zur Schwingungsreduktion, b) Schnittansicht und c) Foto vom piezo-elastischen Lager
Abbildung 1: a) Rundbalken mit piezo-elastischem Lager zur Schwingungsreduktion, b) Schnittansicht und c) Foto vom piezo-elastischen Lager

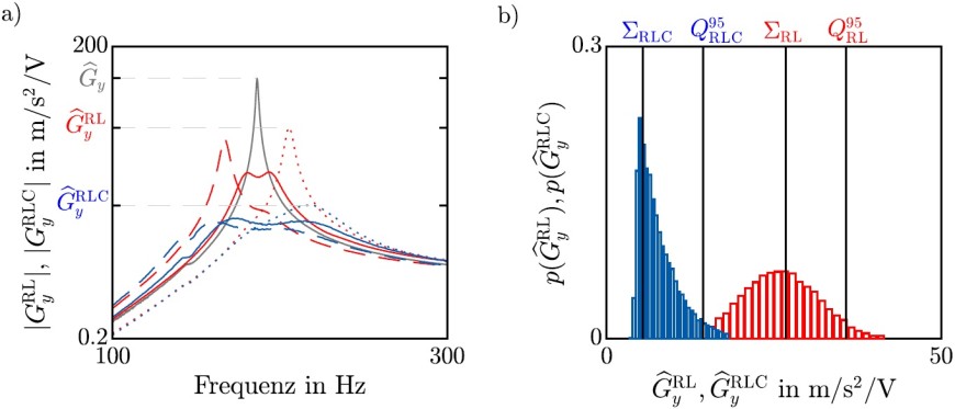
Ziel ist es, Schwingungen zu reduzieren und die Unsicherheit in der Schwingungsreduktion zu quantifizieren sowie zu bewerten. Nicht-probabilistische Unsicherheit der Schwingungsreduktion aufgrund variabler Axialkräfte wird numerisch und experimentell quantifiziert (siehe Abbildung 2a). Zusätzlich wird probabilistische Unsicherheit aufgrund von Produktionsschwankungen der Membranfeder, der Montage des piezo-elastische Lagers sowie der elektrischen Parameter mittels numerischer Monte-Carlo Simulation quantifiziert und ausgewertet (siehe Abbildung 2b). Dabei wird mit dem RLC-Shunt eine höhere Schwingungsreduktion bei geringerer Variabilität erreicht als mit dem RL-Shunt.

Abbildung 2: a) Amplitudengang des schwingungserregten Rundbalkens für den unbelasteten Fall (durchgezogen), axiale Zug-(gepunktet) und Drucklast (gestrichelt) und b) normalisiertes Histogramm ohne sowie mit RL- und RLC-Shunt
Abbildung 2: a) Amplitudengang des schwingungserregten Rundbalkens für den unbelasteten Fall (durchgezogen), axiale Zug-(gepunktet) und Drucklast (gestrichelt) und b) normalisiertes Histogramm ohne sowie mit RL- und RLC-Shunt

In der aktuellen Forschung wird piezoelektrisches Shunt Damping in Balkentragwerksstrukturen untersucht (siehe Abbildung 3). Die erreichbare Schwingungsreduktion mit RL- und RLC-Shunt wird für variable statische Belastung quantifiziert und miteinander verglichen. Die Unsicherheit in der Schwingungsreduktion des Balkentragwerks mit variabler Belastung wird quantifiziert und bewertet. Die gewonnenen Erkenntnisse werden für die Erforschung von (nicht-)robusten Optimierungsmethoden (basierend auf z. B. Genetischen Algorithmen) zur Bestimmung der Positionen der piezo-elastischen Lager in Balkentragwerken sowie der Auslegung der Shunts verwendet.

Abbildung 3: Foto des experimentellen Versuchsstands eines Balkentragwerks
Abbildung 3: Foto des experimentellen Versuchsstands eines Balkentragwerks

Kontakt: